Difference Between AC Generator and DC Generator
Generators are machines that convert mechanical energy into electrical energy. They can be divided into alternating current and direct current generators. The significance of the first ones is incomparably larger, but the others still also have vast application.

What is AC Generator?
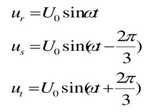
Modern AC sources are, almost exclusively, induction generators, where the principle of work is based on electromagnetic induction. In this case, the electromagnetic current is obtained by rotating the conductors in the magnetic field. Today, almost all alternating current generators are three-phase. This means that in their movable part, which is called a rotor, they have three separate coils, placed between each other at an angle of 120◦, in which three EMC are phase-shifted precisely by 120◦, or in time sequence for a third period.

Coils are usually indicated by the letters R, S and T, each of which defines a single phase. Depending on the binding of these coils, the transmission of electricity from the generator to the consumer is carried out with 4 or with 3 conductors. If at the beginnings of all the coils are bound at one point (the so-called zero point), then we are talking about star connection. In that case, the other ends of each coil, are connected with one phase (or line) conductor, and one additional conductor from the zero point – the zero conductor, and the transmission is carried out with 4 conductors. If the coils are bound so that one end of one conductor is connected to the beginning of the next, and so to the end, then such a connection is called a triangle connection. For a star connection, the voltages between the individual phase conductors and the zero conductors are called phase voltages. All phase voltages of evenly loaded network are the same and have an effective value of 220 V:
On the other hand, in case of a triangular connection, the voltages between the individual phase conductors are called inter-phase or line voltages. Inter-phase voltages are URS , UST and URT and they are √3 times the phase voltage. Their effective value is √3 · 220 V ≈ 380 V: ![]()

What is DC Generator?
Contemporary developments are aiming towards eliminating direct current machines such as the DC generator, but they are still extensively used when a very smooth voltage is required, which cannot be achieved by a synchronous alternator with a diode or a network adapter. The basic parts are stator and rotor. The stator is usually made of permanent magnet, while the rotor from soft iron with copper conductors through which the current flows. The current is fed to the rotor via brushes that come across segments of copper. In order to rotate the rotor continuously and not to make a short circuit when the
brush touches two adjacent segments, the rotor must have at least three segments, while usually there are more than 10. The DC current of the stator winding creates a permanent magnetic field. Rotor rotates in this magnetic field and due to dynamic induction, it produces an EMC. All electromotive forces under one pole are in the same direction, and under another in the opposite direction. The EMC under one pole are added and their total value is obtained on the brushes. The value of EMC in one winding changes from zero, when the contour is normal on the magnetic lines of the force, over the maximum, when the contour is parallel to the axis of the poles. The current changes the intensity, but it does not change direction, and it forms a pulsating wave. In order to avoid the pulsating current, a filter is inserted.
Difference Between AC and DC Generator
1. Design of AC and DC Generator
The stator in DC generators is in form of a hollow roller with magnetic poles on the inside. The rotor consists of a core, a shaft, a winding and a collector. The core consists of mutually insulated dynamo sheets with grooves. The grooves are wrapped in copper wire whose ends are connected to the collector. The collector is in the form of slices attached to the shaft. Carbon brushes move along the collector and can charge/discharge current. The stator of AC generators has on the inside of the roller a longitudinal grooves in which there are windings, in contrast to a DC electromotor where magnetic poles are located. When the current flows through the windings in the stator, a magnetic field appears. The rotor is similar to that of a DC generator, only instead of the collector on the shaft there are two mutually isolated rings. Rotating of the rotor creates alternating current in the stator coils which is passed to the receiver.
2. Application of AC and DC Generator
Dc power machines can work both as a motor and generator. DC generators suppressed the semiconductor rectifier use. AC generators are vastly used for electrical energy generating/transmitting.
AC vs. DC Generator: Comparison chart to show the difference between AC and DC Generator

Summary of AC and DC Generator
- A generator is a machine that converts the mechanical energy of a power machine into electrical energy. DC generator consists of stator and rotor. On the stator there is a permanent magnet or wire windings that are charged with DC, forming electromagnets that replace permanent magnets. The rotor also has windings that are powered by DC.
- Although DC current still finds its application in a large number of areas, today it is quite clear that alternating current has great advantages, especially in meeting the needs of large energy consumers. Rotor of AC generators consist of serial-bound magnets (in fact, they are electromagnets), and the stator is a coil.
- Difference Between Thermodynamics and Kinetics - June 24, 2018
- Difference Between Welding and Soldering - June 24, 2018
- Difference Between Additive Colors and Subtractive Colors - June 20, 2018
Search DifferenceBetween.net :
1 Comment
Leave a Response
References :
[0]Zorbas, D. Electric Machines-Principles, Applications, and Control Schematics. Minnesota: West, 1989. Print
[1]Hart, D. Introduction to Power Electronics. NJ: Prentice Hall, 1997. Print
[2]Lister, E., C., Rusch, R, J. Electric Circuits and Machines 7th Ed. NJ: McGraw-Hill Higher Education, 1993. Print
[3]Image Credit: https://upload.wikimedia.org/wikipedia/commons/e/e8/PSM_V03_D603_AC_generator.jpg
[4]Image Credit: https://upload.wikimedia.org/wikipedia/commons/thumb/3/31/DFIG_in_Wind_Turbine.svg/2000px-DFIG_in_Wind_Turbine.svg.png

You have the current response the wrong way round in the comparison table above. AC changes direction not DC.